【政策解讀】2021鄉村振興政策解讀(最全)

隨著全球人口增長和城市化加速,傳統農業面臨耕地減少、水資源短缺等挑戰。聯合國糧農組織預測,2050年全球糧食需增產70%才能滿足需求。在此背景下,垂直農場與無土栽培技術應運而生,通過空間疊加和資源重構,為解決糧食安全問題提供新思路。這兩項技術不僅突破地理限制,更重新定義了"農田"的概念。
垂直農場的核心原理

垂直農場是在多層建筑內進行作物種植的集約化生產系統,其核心在于立體空間的高效利用。通過人工光源、溫控系統和營養輸送裝置,可在寫字樓或地下空間建立生產單元。以新加坡Sky Greens為例,其30層種植架單位面積產量達到傳統農田的10倍。這種模式將農業生產從平面擴展到立體維度,實現每立方米空間的最大化利用。
垂直農場的核心優勢
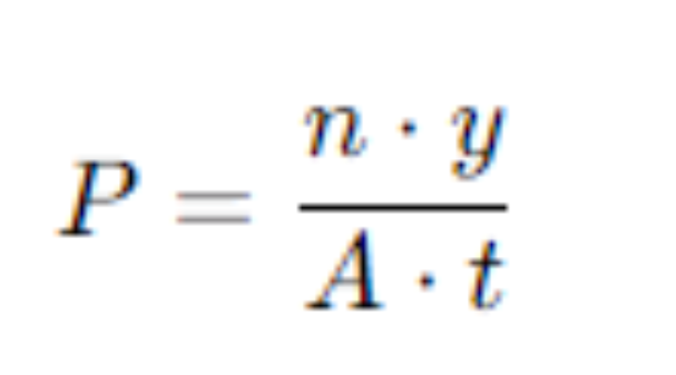
垂直農場的核心優勢體現在資源效率提升。水循環系統可減少95%的用水量,LED光源的能效比太陽光利用率高40%。以生菜種植為例,傳統方式需30天成熟,垂直農場通過優化光照周期可縮短至18天。其單位產能公式可表示為:

其中n為層數,y為單層產量,A為占地面積,t為生長周期。該模式特別適用于葉菜、草本植物等短周期作物。

垂直農場的實施挑戰
高額初期投資是主要制約因素。建設包含環境控制系統的垂直農場,每平方米成本高達3,000-5,000美元。能源消耗占運營成本的60%,特別是人工光源的電力需求。日本某垂直農場數據顯示,每公斤生菜的綜合成本比傳統方式高出30%。此外,技術依賴性強,需持續的環境監控和系統維護團隊。
無土栽培的技術突破
無土栽培通過營養液或基質替代土壤,主要分為水培、氣霧培和基質栽培三類。NASA開發的氣霧培技術,根系懸空狀態下通過霧化營養液供給,使作物吸收效率提升50%。迪拜沙漠農業項目采用該技術,在EC值(電導率)6.0 ms/cm的高鹽環境下仍能維持作物正常生長,突破傳統土壤種植的限制。

無土栽培的核心優勢
該技術徹底規避土壤連作障礙和重金屬污染風險。荷蘭番茄無土栽培基地實現連續15年生產而不減產,產量達到45kg/㎡,是土壤栽培的3倍。營養液的精準調控使維生素C含量提升20%,硝酸鹽含量降低60%。在封閉系統中,農藥使用量減少90%,特別適合有機農產品生產。
無土栽培的技術局限
技術復雜性構成主要應用壁壘。營養液配方需根據作物生長階段動態調整,例如草莓開花期需將氮磷鉀比例從3:1:2調整為1:3:4。系統穩定性要求極高,pH值波動超過0.5就會導致養分失衡。美國某農場案例顯示,水泵故障2小時就造成30%作物受損。初期設備投資每畝約需8-12萬元,是普通大棚的3倍。

城市農業的典型場景
垂直農場正在重塑城市食物供給體系。東京Pasona總部大樓在辦公區種植水稻,年產3噸大米;柏林Infarm在超市直接設立種植柜,實現生菜從采摘到上架僅需2小時。這類場景減少運輸損耗85%,使蔬菜貨架期延長3-5天。新加坡已實現30%葉菜來自城市農場,運輸距離從1500公里縮短至15公里。
特殊環境的應用拓展
在迪拜沙漠和南極科考站,無土栽培系統展現出獨特價值。中國南極長城站采用集裝箱農場,在-50℃環境中維持18℃恒溫,年產蔬菜900公斤。阿聯酋的沙漠農場利用海水淡化技術,每噸蔬菜僅耗水5噸,是傳統方式的1/20。這類系統為極端環境提供穩定的食物供給解決方案。

教育與科研場景延伸
垂直農場成為農業教育的實體教具。清華大學"屋頂農場"項目每年培訓1,200名都市農藝師,涵蓋從pH值調節到光譜控制的實踐課程。荷蘭瓦赫寧根大學建立的數字孿生農場,通過傳感器采集10萬個數據點/天,為優化種植參數提供實驗平臺。這類場景推動農業知識體系的迭代更新。

農業產業鏈的重構影響
兩項技術正在改變農業價值鏈條。前端催生LED農業照明、智能傳感器等新產業,全球農業照明市場規模預計2025年達87億美元。中端推動冷鏈物流變革,城市周邊農場使"采摘-配送"時間壓縮至4小時。消費端催生植物工廠訂閱服務,東京已有20萬家庭定期接收種植箱產出的定制化蔬菜包。
未來農業的轉型方向
垂直農業將推動農業生產從"資源依賴型"轉向"技術驅動型"。當光伏成本低于$0.03/kWh時,人工光源能耗瓶頸將突破。基因編輯技術與無土栽培結合,可定向培育高營養密度的功能作物。據測算,若全球10%蔬菜采用垂直種植,每年可節約5.6萬億升水,相當于3.7個三峽水庫庫容。這標志著人類正從"靠天吃飯"走向"按需生產"的農業新紀元。
更多干貨、市場分析、重磅案例、實戰課程歡迎訂閱 [農業行業觀察]公眾號:nyguancha

相關文章
文章:10294 篇
瀏覽:41507 次
50噸!小金蘋果首次銷往海外市場
亞鉀國際正式躋身300萬噸鉀肥產能行列,中國“海..
【政策解讀】《高標準農田建設質量管理辦法》印..
【名優特產品消費節】全年搞不少于12場展銷活動..
如何激活縣域特色農業?這里給出了答案..
【政策解讀】《國家鄉村振興示范縣創建工作方案..
真的!?垂直農場:30層種植架產量達到傳統農田..
【縣域農業案例】一個縣域循環農業如何變成綠色..
【產業透視】鄉村振興:不是缺錢、而是缺機會..
未來已來!功能性食品創新之道(附PPT解讀)..
第十一屆中國畜牧科技論壇開幕 激發畜牧產業新質..
【農產品電商】特色農產品電商實踐操作與案例深..
大曉智能:踐行初心,深耕“人工智能+農業”..
中國生鮮供應鏈市場現狀、競爭格局及發展趨勢..
“十五五”縣域農業現代化規劃核心要點深度解讀..
【養殖案例】“牛人”降本增效新實踐——伊利奶..
農業農村部等多部門聯合推進農產品品牌建設,多..
【智慧農業】《智慧農業標準體系建設指南》發布..
大疆農業旗艦新品T100S亮相第三十九屆植保雙交會..
【產業透視】家禽養殖業的困境與出路:挑戰、創..
農資行業商業模式揭秘:不靠賣農資產品,靠會員..
【智慧農業】智慧農業創業:20+條創新商業模式推..
【農業案例】農業創業中的5個坑,農民看過后,選..
恭喜新疆缽施然智能農機股份有限公司榮獲2024年..
農村電商僅剩下農產品直播,未來還將如何發展..
新年特刊!100多個特色農場的經典案例,都非常有..
數字農業創新典型案例——淘菜菜、京東農場..
如何打造更賺錢的“無人農場”?
【預制菜】重磅分析!我國預制菜出海的趨勢與特..
植物工廠掘金戰:五大商業模式破解90%虧損魔咒!..