農俠會:三農領域產業社群(資源對接、案例分享、線上課程、線下活動)

水是農業的命脈,水安全是食物安全與農產品有效供給的重要保障。我國用占全球9%的耕地、6%的淡水資源生產的糧食,養活了占全球18%的人口。我國多年平均水資源總量約2.8萬億m3,居世界第6位,而人均水資源量僅1986m3,不足世界人均水平的1/4,單位耕地面積的水資源量僅為世界平均水平的1/2。特別是水資源與其他社會資源的空間分布不匹配,國土面積、耕地面積、人口和GDP分別占全國64%、60%、46%和44%的北方地區,其水資源量僅占全國的18%,“水缺”比“地少”更為嚴峻。在北方水資源緊缺形勢下,我國糧食生產重心仍在不斷北移,方糧食產量占全國總產量比重由2000年的36.7%增加到2020年的63.3%全國5個糧食凈調出省份中北方占4個。2024年3月8日《Nature Water》也發文指出:“21世紀全球52%的灌溉面積擴張發生在已經面臨水資源壓力的地區,雖然增加了全球作物產量,但也導致了對淡水資源更大的壓力。”在我國北方水資源緊缺地區,農業過度開發導致農業用水量大,加之用水效率低,引發了華北平原嚴重的地下水水位下降,西北內陸河流域下游土地沙化、沙進人退、綠洲萎縮,東北地下水水位大幅度下降、濕地退化等生態環境問題,進一步加劇了區域水資源短缺,對農業可持續發展和人類生存環境形成了嚴峻挑戰。
2023年,全國農業用水3672.4億m3,占全社會總用水的62.18%。在水資源嚴重緊缺形勢下,要保障國家食物安全和農產品有效供給,必須實施農業節水,發展高水效農業,大幅度提高農業用水效率與效益。
習近平總書記高度重視農業節水。2014年3月14日,在中央財經領導小組第五次會議上,提出了“節水優先、空間均衡、系統治理、兩手發力”的治水思路;2019年9月18日,在河南鄭州主持召開深入推動黃河流域生態保護和高質量發展座談會時再次指出,把水資源作為最大的剛性約束,大力推進農業節水,推動用水方式由粗放向節約集約轉變;2020年6月9日,在寧夏賀蘭縣考察時指出,積極發展節水型農業,以水定產;2023年6月6日,在內蒙古河套灌區考察時再次強調,要節約水資源,大力發展現代高效農業和節水產業。習近平總書記的系列指示精神為我國農業節水發展提供了根本遵循。

近10年,黨和政府把農業節水作為方向性、戰略性大事來抓,黨的十九大報告提出“推進資源全面節約和循環利用,實施國家節水行動”,標志著節水上升為國家意志和全民行動。2019年4月,經中央全面深化改革委員會審議,國家發展改革委、水利部等20個部門聯合印發《國家節水行動方案》;2023年9月,國家發展改革委、水利部等7部委聯合出臺《關于進一步加強水資源節約集約利用的意見》;2024年3月,國務院頒布《節約用水條例》,把水資源節約集約利用的要求貫穿于經濟社會發展全過程和各領域。與此同時,為了推進農業節水工作的具體落實,國務院辦公廳和相關部委先后印發了《關于推進農業水價綜合改革的意見》《全國大中型灌區續建配套節水改造實施方案(2016—2020年)》《關于深入推進農業水價綜合改革的通知》《“十四五”重大農業節水供水工程實施方案》。上述舉措,加快了灌區續建配套節水改造,加速了噴微灌及水肥一體化等高效節水技術的推廣應用,強化了農業節水的科技支撐,創新了農業節水體制機制,加強了農業用水的精細化、智能化管理,促進了農業用水方式的變革,全面提升了農業用水效率,為保障國家食物安全和農產品有效供給、國家水安全作出了重要貢獻。
同時,也應該清醒地認識到,當前我國農業節水與國際先進水平還有較大差距。由于農業節水需要巨大的資金投入、強大的科技支撐和有力的政策保障,涉及不同行業部門,且我國各地經濟發展不平衡,水資源利用形式、灌溉模式、土壤與作物種植的區域差異較大,在發展過程中也面臨著一些嚴峻挑戰。本文力求在總結過去10年農業節水成就的基礎上,分析當前發展所面臨的問題和挑戰,提出促進農業節水高質量發展的幾點建議。

農業節水取得的巨大成就
01、為保障國家事務安全和農產品有效供給做出了巨大貢獻
在水資源緊缺的條件下,近30年我國耕地灌溉面積增加了3.27億畝,增加到10.55億畝,生產了全國77%的糧食和90%以上的經濟作物,農業節水和高效用水形成了1100億m3以上的年農業綜合節水能力,其中農藝節水與工程節水的比例分別為45.76%和54.24%。在灌溉面積不斷擴大、糧食連年豐收的前提下,農業用水總量下降了300億m3。
特別是近10年,灌溉水利用系數從0.530提高到0.576,單方灌溉水的糧食生產力從1.58kg增加到1.80kg以上。耕地灌溉畝均用水量由2014年的402m3下降到2022年的364m3,降低了9.5%。通過灌區續建配套節水改造,累計恢復新增灌溉面積6000余萬畝,改善灌溉面積近3億畝,有效遏制了灌溉面積衰減的局面,提高糧食綜合生產能力約300億kg,大中型灌區農田畝均單產比改造前平均提高了約100kg,畝均產量是全國平均水平的1.5~2.0倍。膜下滴灌、淺埋滴灌水肥一體化技術得到廣泛應用,通過與增密等農藝技術結合,取得了區域性大幅度節水、減肥、增糧的成效。例如,新疆伊犁玉米滴灌水肥一體化技術,將種植密度提高到每畝8000株以上,察布查爾錫伯自治縣闊洪奇鄉玉爾坦村11260畝高產創建田平均畝產1300.67kg,種羊場井灌區1439畝高產創建田平均畝產1427.66kg,伊寧縣喀什鎮高產創建田100畝高產方平均畝產1545.94kg。農業節水為國家食物安全和農產品有效供給提供了水安全保障。
02、為促進區域農業可持續發展和生態環境改善發揮了重大作用
農業節水為華北平原地下水超采治理,西北內陸干旱區塔里木河、石羊河、黑河流域重點治理,東北三江平原和西遼河治理發揮了重大作用。例如,東北西遼河流域,通過農業節水和高效用水等綜合措施,不僅保障了“節水增糧”和農業可持續發展,而且西遼河干流水頭逐年向下游延伸,流域平原區地下水水位上升區域達到14.3%,水位穩定區達到83.3%,從河道斷流到通水,從地下水超采到地下水水位回升,生態復蘇效果逐步顯現。西北地區膜下滴灌面積達7000余萬畝,灌溉水利用系數由2011年的0.495提高到2022年的0.577,已高于全國平均值0.572,通過農業節水置換出的水資源用于河流生態修復,為確保干旱內陸區綠洲永續生存發展,筑牢國家西部生態安全屏障發揮了作用。華北地下水嚴重超采區開展了“節水壓采”試點行動,2023年12月比2018年同期地下水超采治理區淺層地下水水位回升2.59m,深層承壓水水位回升7.06m,近幾年累計回補地下水超過130億m3,地下水超采得到一定遏制。南方太湖流域平原河網區的稻田節水減排模式,通過標準田塊建設、精準灌排管理、科學減量施肥等措施,實現了節水節能、綠色減排、增產增效,2020—2022年僅在浙江嘉興平湖市就累計應用56960余畝,實現減排總氮32467kg、總磷3132.9kg,節水2427萬m3,節電80萬kW·h。
03、為發展集約高效農業和促進農業現代化創造了有利條件
我國城鎮化進程和農村勞動力轉移步伐日益加快,農業機械化已成為推動規模化經營和節本增效、不斷提高農業綜合生產能力和市場競爭力的重要手段。如果沒有節水灌溉機械化,就不能實現農業的全面全程機械化。噴灌、滴灌等高效節水灌溉技術的大面積推廣應用不僅節約了灌溉用水,而且為土地流轉、推進規模化生產和農業提質增效、農業現代化創造了有利條件。例如,新疆和田地區人均耕地少,過去采用小塊地耕種模式,不利于發展集約高效農業。在高標準農田建設中,大力推廣膜下滴灌技術,一個滴灌系統控制1000~1200畝耕地,通過引導土地規范有序流轉,促進農田規模化經營,不僅可以更好地節水,而且為發展集約高效的現代農業提供了支撐。內蒙古科左中旗淺埋滴灌工程的實施,為農戶土地流轉、結構調整、規模化經營創造了有利條件,生產強度降低和生產效率提高加快了農村勞動力轉移,使剩余勞力可以外出務工增收,近兩年農戶流轉土地人均增收2300元。內蒙古河套灌區1100多萬畝耕地分布在720多萬個地塊上,每塊1.5畝左右,人均承包耕地6~10塊,通常采用傳統地面灌溉,既不節水又不省力,而且農業生產效益低。內蒙古河套灌區水利發展中心與當地農業龍頭企業或種植大戶合作,以投資建設引黃滴灌水肥一體化節水設施為載體,促進土地流轉,帶動農戶規模化經營,實現了節水增效,促進了現代農業發展方式提檔升級。
04、促進了農業節水科技進步和農業節水產業發展
近10年,我國農業節水科技取得顯著進步。2022年,新建農業水資源高效利用全國重點實驗室,實現了該領域基礎研究無國家級重點實驗室的突破;建設了旱區作物高效用水、作物高效用水與抗災減損國家工程實驗室,甘肅武威綠洲農業高效用水國家野外科學觀測研究站,國家節水灌溉(北京、楊凌、新疆)工程技術研究中心以及一批省部級科研平臺。在國家重點研發計劃項目、農業重大科技攻關項目、國家自然科學基金重大重點項目等支持下,取得了一批原創性理論與技術成果。成功研發了世界上應用面積最大的膜下滴灌、淺埋滴灌水肥一體化技術,通過與增密等農藝技術結合,實現了區域性大幅度節水、減肥、增糧、增效;研究出全國主要作物不同水文年份的需水量和灌溉定額標準,為農業用水精細管理和落實“四水四定”提供了科學的控制指標;在國際上率先創建了作物節水調質高效用水理論,引領了該領域國際前沿研究;建立了我國北方旱地增蓄降耗雨水高效利用技術模式;研發了抗堵塞滴灌技術與系列產品,破解了黃河水直接滴灌的世界難題;提出了灌排泵站交替加載技術,研制出超低壓力脈動高效雙吸離心泵,應用于全國81%的大型灌排泵站,實現了節水、節能、減碳、高效;創新了南方稻田綠色節水減排的控制灌溉模式;開發了灌區量測水和輸配水自動化以及田間智能灌溉技術與裝備,顯著提高了精準灌溉和灌區現代化水平;創建了內陸干旱區基于生態健康的農業水資源科學配置與高效利用模式,助推我國內陸河流域由沙進人退向可持續發展轉變。50余項技術入選水利部、農業農村部先進實用技術及主推技術名單,有力支撐了華北節水壓采、東北節水增糧、西北節水增效、南方節水減排等節水行動,為推動我國高水效農業發展作出了重要貢獻。
以科技創新推動節水產業創新,特別是大數據、云計算、人工智能、機器人、區塊鏈、虛擬現實、生物信息學等前沿技術的創新應用,催生出作物高水效表型診斷與靶向智慧調控、智能灌溉、智慧節水、數字孿生灌區建設等新業態、新模式,既節水省工又增產增效。節水產業變革促進了新質生產力發展。
近10年,農業節水產業快速發展,全國節水灌溉相關企業3400余家,產值超500萬元規模的微灌企業數量新增約20%,噴灌企業數量新增超100%,特別是驅動新質生產力發展的智能灌溉、智慧節水企業數倍增長。目前農業節水相關企業年產值近1000億元,較10年前增長近50%。農業節水企業創新能力明顯提升,大禹節水、上海華維、新疆天業、廣東達華、江蘇華源、河北潤農、黑龍江東部節水等年產值5億元以上企業均設有創新中心、研究院等,年投入研發經費占企業當年產值1%~4%。節水灌溉產品制造水平大幅度提升,如滴灌帶生產速度由10年前國內先進的120m/min提高到現在的近300m/min,疊片過濾器、反沖洗三向閥、電磁閥、壓力補償式滴灌灌水器系列產品等實現國產化,農業節水設備企業與發達國家先進水平的差距進一步縮小。

當前農業節水發展面臨的主要問題與挑戰
我國農業水效指標與國際先進水平仍然有較大差距,全國灌溉水利用系數為0.576,糧田單方灌溉水生產力為1.80kg,旱地降水利用率為63%,而國際先進水平分別在0.7~0.8之間、2.0kg以上和80%以上。預計到2035年,全國糧食產量須達到9.4億t,若糧食自給率達到85%,還需增產1.0億t。按照當前節水水平和灌溉地生產糧食占比預測,灌溉需水量約4300億m3,農業缺水超過500億m3,農業水安全問題十分突出,仍是國家新一輪千億斤糧食產能提升行動、“力爭到2035年左右把15.46億畝永久基本農田全部建成高標準農田”、“鹽堿地綜合改造利用”和北方水資源緊缺區農業可持續發展的短板,亟須通過制度創新和科技創新雙輪驅動加以解決。目前面臨的主要問題和挑戰有:
01、缺乏農業節水相關基礎數據的長期監測和科學合理的節水評價指標體系,難以進行農業用水總量和用水效率考核以及節水成效評價
目前,還缺乏對不同用水戶和區域農業用水以及灌溉面積、地下水水位等相關基礎數據的長期監測與積累。采用的灌溉水利用系數、節灌面積比和畝均灌溉用水量等指標,沒有充分考慮不同區域降水、土壤、作物等實際狀況以及節水改造后地下水和生態環境的變化,不便于區域間節水程度和效果的比較與全面評價,即使是納入國民經濟和社會發展剛性約束指標的灌溉水利用系數的測算方法也不夠科學,長系列基礎數據支撐不充分,滿足不了農業節水評價的需求。灌溉的目的是為了創造良好的土壤環境,滿足作物正常生長和高產需要,對于土壤鹽堿化區域,灌溉不僅要滿足作物正常的耗水需求,還要滿足根區土壤沖洗壓鹽水量的需要,與土壤類型、鹽堿化程度、種植作物種類和地下水埋深等有關;高產稻田也需要有適宜的滲漏量,以滿足調節根區通氣狀況、調節土壤氧化還原電位、淋洗有毒物質的需要,與土壤類型、水稻品種和生育階段有關。目前全國灌溉水利用系數測算中采用的“首尾測算法”,沒有考慮為作物根系生長創造良好土壤環境所必需的沖洗壓鹽水量和稻田必需的適宜滲漏量,導致在土壤鹽堿化地區和以水稻種植為主的地區測算的灌溉水利用系數偏低,不便與其他地區比較,甚至會引發一些鹽堿化嚴重的區域盲目提高節水改造標準,追求高灌溉水利用系數,影響區域土壤和地下水環境及作物產量。節灌面積比沒有考慮相同節灌面積上節水技術類型和技術水平的差異,畝均灌溉用水量沒有考慮不同區域間年均降水量差異的影響,不便進行區域間的比較。
02、“四水四定”落實不到位,農業節水和農業適水發展相脫節,有些水資源緊缺地區節水改造的灌區不考慮水資源承載力而盲目擴大灌溉面積,持續呈現農業用水總量缺乏控制、地下水水位不斷下降的態勢
有些灌區投巨資進行節水改造后,不考慮水資源承載力,盲目擴大灌溉面積和農業引用水量,農業耗用水量缺乏控制,大量擠占生態用水,地下水水位繼續下降,其實這是沒有把農業節水和農業適水發展統一考慮的表現。例如,華北平原農業節水技術已研究推廣30多年,并沒有改變地下水資源惡化的現狀,主要原因是種植制度一直向高耗水結構發展。西北內陸干旱區投入大量資金進行灌區續建配套節水改造和發展膜下滴灌,2008—2022年,雖然單位面積的灌溉用水定額下降,但灌溉面積卻從1.180億畝增加到1.378億畝以上,僅2008—2018年,農業凈耗水量就從387億m3增加到493億m3,導致區域地下水水位不斷下降。GRACE衛星遙感數據表明,21世紀以來該區域陸地水儲量呈顯著下降趨勢。同時,觀測井資料顯示,2008—2020年新疆南部阿瓦提縣觀測井地下水水位平均下降1.58m,其中豐收三場觀測井地下水水位下降5.42m;北部鄯善縣吐峪溝鄉2013—2020年地下水水位下降14.05m。甘肅河西走廊石羊河流域重點治理工程2007年啟動后,雖然單位面積配水定額大幅度下降,灌溉水利用系數和灌溉水生產力提升,但除下游青土湖區因人工回補地下水水位小幅度上升外,流域地下水水位下降速度由每年0.205m增大至2020年的0.332m,其根本原因是2012年節水改造工程完成后,流域作物播種面積和灌溉面積應壓減未壓減,反而不斷擴張,農業凈耗水量增大所致。內蒙古河套灌區在節水改造后,引黃水量不斷減少,灌溉面積卻增加了近300萬畝,特別是2015年以來增加了120萬畝,達到1154萬畝,節水改造后盲目擴大灌溉面積,導致湖泊濕地面積從2000年的4.65萬畝減少到2023年的2.80萬畝,湖泊數量年均減少2.78個,部分天然林草地退化,無疑對生態環境造成了嚴重影響。
03、灌區續建配套節水改造和高標準農田建設缺乏有效銜接,小型農田水利工程管理不到位,灌溉渠道“最后一公里”不通暢,田間節水灌溉工程建設對接農戶需求不夠,高效節水灌溉與農藝技術配套不緊密,影響節水工程效益正常發揮。
由于灌區續建配套節水改造屬于水利部門管理,而高標準農田建設屬于農業農村部門管理,兩者之間缺乏有效銜接,特別是市、縣兩級表現更加突出。國家投入重資,通過土地流轉、土地整理、土地調整等措施,使得農田形狀規整、農田規模形成,但在此過程中,為追求面積大、規模化,沒有有效銜接周圍渠道的實際情況,甚至出現了田面高于田間渠道的狀況。高標準農田和田間節水工程建設對接農戶需求不夠,建設的高效節水灌溉工程缺乏與不同作物耕作種植和需水特點、土地經營方式等的協調,經常出現節水灌溉工程建設不能滿足農田節水灌溉需求,導致一些工程流于形式,尤其在干旱時期,容易造成大面積農田難以灌溉而減產。
一些灌區雖然投巨資進行高標準農田信息化、灌區節水改造信息化建設,但大多處于深度業務應用不足的狀態,造成資金浪費;而需要大量投資的骨干灌排渠系標準低,諸多中小型灌區的末級渠系還不完善,小型農田水利工程管理缺位,“最后一公里”不通暢,仍然達不到“旱能灌、澇能排”的基本要求。大部分中小型灌區管理人員老齡化突出,專業技術人員占比低,管理模式落后,使得我國人均灌區管理面積只有發達國家的1/10左右,管理效率低下,難以利用現代信息技術手段實現“從嚴從細管好水資源,精打細算用好水資源,優化配置節約水資源”。
高效節水灌溉與農藝技術配套不緊密,影響其推廣應用。例如,我國從20世紀70年代末就開始大力推廣滴灌節水技術,但由于沒有與農藝技術結合,不能在節水的同時實現增產增效,推廣應用非常艱難。而從20世紀90年代末開始,膜下滴灌與水肥一體化以及密植技術相結合,實現了節水增產增效,推廣應用面積迅速增長。甘肅武威綠洲農業高效用水國家野外科學觀測研究站研究的甘肅河西走廊制種玉米膜下滴灌水肥一體化技術模式,滴灌帶長度為60~65m,滴頭流量3.0L/h,灌水間隔10d,苗期輕度虧水,全生育期每畝灌水140m3,種植密度由傳統的每畝5000株增加到每畝7500~8000株,每畝施純氮10kg,其中40%作為底肥基施,60%追施,每畝可節水129m3、節氮7.3kg,產量提高30%以上,水分利用效率提高76%。因為這種模式不僅節水,而且節肥、省工、省力、增產、增效,所以農戶才有應用的積極性。目前,還缺乏適合不同區域、不同土壤、不同作物的高效節水灌溉和農藝技術有機融合的規范化、標準化技術體系,特別是為農戶提供“套餐式”服務的高效節水綜合技術集成模式。
04、農業水價綜合改革不到位,農民自覺節水的內在動力不足,社會資本參與節水灌溉工程建設與運行管理的積極性不高,節水灌溉工程設施可持續運行的機制和政策供給不足
農業水價杠桿對促進節水的作用未得到有效發揮,不僅造成農業用水方式粗放,而且難以保障節水灌溉工程設施建設和良性運行。目前,農業水價綜合改革面臨著一些困難與瓶頸,一是由于農業產業特別是糧食生產比較效益低,農戶用水交易意識不足,地方政府調整農業灌溉水價的主動性和積極性不高;二是部分地區節水獎補政策落實不到位,獎補資金落實和籌集比較難,特別是欠發達地區精準補貼“等米下鍋”現象普遍,價格調整相對滯后;三是缺少足夠用水計量設施,農業水權分配和交易難,特別是水的交易落實難度較大;四是沒有建立鞏固農業水價綜合改革成果的長效機制。目前,大中型灌區農業灌溉平均執行水價僅占運行成本水價的50%左右,農業水費實收率不足70%。農業節水技術應用主體是農民,由于灌溉水價低,大田作物節水僅減少少量水費成本,經濟效益有限,而在實際生產中又沒有體現出多節水多補償、多獎勵,所以農民缺乏自覺節水的內在動力。
除了城鎮生活和工業供水以及高附加值作物占比高的灌區,參與以糧食生產為主的灌區節水灌溉工程建設和運行管理獲利較少,社會資本參與積極性不高。此外,還缺乏節水灌溉工程設施建設和可持續運行的機制與政策。
05、科技支持農業節水高質量發展的能力不足,節水產業發展不完善,產學研用結合不緊密,缺乏適合不同區域和不同作物的智慧化、成套化、定量化、模式化、標準化節水綜合技術模式
目前,我國農業節水整體創新能力不足,國家計劃的重大科技項目較少,而且缺乏與不同區域需解決實際問題的有效對接,缺乏重大公共科研與示范平臺,多單位協同的聯合攻關不夠,區域性長期科學定位試驗研究缺乏,科技成果轉化率低。節水產業發展不完善,產學研用結合不緊密,企業高端產品不足,大多為一些中低端產品;智能制造水平低;產品系列化不足,真正具有完全自主知識產權的核心產品少;產能遠大于市場需求,市場競爭加劇,競爭規范化亟待提高;產品標準化及標準的應用有待提升。高效節水科技推廣與服務體系不夠完善,導致高效節水灌溉工程建成后沒有專業化技術服務機構給用戶提供技術指導,可持續性差,節水效果大打折扣;區域農業節水技術模式的落地性需提升,產品、技術、農藝、農機適配性不強,實用化技術不足,亟待構建適合不同區域不同作物的智慧化、成套化、定量化、模式化、標準化節水綜合技術模式,形成區域糧食與其他農產品生產和水資源短缺矛盾的綜合解決方案。

促進農業節水高質量發展的幾點建議
01、加強對全國農業節水相關基礎數據的長期監測,特別是水資源緊缺地區農業用水總量、灌溉面積、地下水水位的監測,建立科學合理和簡便實用的農業節水評價指標體系與分區分類考核評價標準
缺乏全國以及不同區域農業節水相關基礎數據的監測,既無法考核各地農業節水的成效,也無法落實“四水四定”相關指標,無法實現以農戶為單元的水權交易以及農業水資源的精細管理。建議建立國家天、空、地一體化的農業節水基礎數據監測網絡和數據管理系統,組織制定《農業節水相關基礎數據觀測規范》,進一步完善相關觀測指標,合理劃分網格單元,對重點區域加密觀測,統一觀測方法,建立數據標準化處理程序。
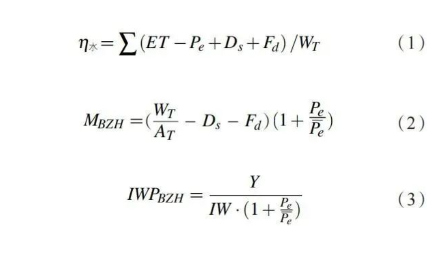
建立科學合理的節水評價指標體系,目前采用的灌溉水利用系數、節灌面積比和畝均灌溉用水量等指標不利于區域間節水水平的比較,同一作物灌溉地產量減去雨養地產量再除以單位面積灌溉定額計算灌溉水生產力的傳統方法,其應用也因不易獲得不同區域雨養地產量而受到限制,而且缺少對某一區域節水后是否達到適水發展和可持續性的考核指標,應該把區域地下水水位變化作為與灌溉水利用系數同等重要的評價指標。因此,建議采用考慮鹽堿地沖洗壓鹽水量和稻田適宜滲漏量后的灌溉水利用系數η水、標準化的單位面積灌溉定額MBZH、標準化的灌溉水生產力IWPBZH和作物水分利用效率WUE以及地下水水位變化ΔH,作為不同區域農業節水成效的綜合評價指標,具體為:

式中:ET是作物耗水量,Ds是淋洗根區土壤鹽分所必需的水量,Fd是稻田必需的適宜滲漏量,WT為灌區總的引水量,AT為總的灌溉面積,Pe為有效降雨量;為全國平均有效降雨量,Y為作物產量,IW為單位面積的灌溉用水量,Hg是地下水埋深,Hc是臨界地下水埋深或者生態地下水埋深。
在上述農業節水評價指標的基礎上,科學確定不同區域、不同類型灌區和不同階段的目標值,作為農業節水成效考核評價的依據。例如全國平均灌溉水利用系數2035年達到0.625,2050年達到0.70;全國平均標準化糧田灌溉水生產力2035年達到2.0kg/m3,2050年達到2.3kg/m3;全國平均標準化畝均灌溉定額2035年降低到350m3,2050年降低到325m3;地下水水位到2035年全面遏制不斷下降的趨勢,2050年控制在不產生土壤鹽漬化的臨界地下水水位與維護生態植被正常生長的生態地下水水位之間。不同區域則應根據具體的降水、土壤、地下水水位、作物等實際狀況,科學確定更加細致的評價指標考核目標值。
02、認真落實“四水四定”,根據水資源承載力嚴格控制不同區域的農業耗水總量與強度,發展適水農業,徹底遏制水資源緊缺地區節水改造灌區灌溉面積盲目擴展、地下水水位不斷下降的態勢;同時為了保障國家食物安全和農產品有效供給,應通過跨區調水和在水資源豐富地區擴大灌溉面積,使2035年前后的農業用水總量適度增加到3875億m3
“四水四定”就是要在水資源剛性約束條件下,做到適水發展、科學發展和高質量發展。適水農業就是通過地表水、地下水、非常規水的優化配置和開發、利用、節約、保護,最大限度地滿足農業用水需求,以水定農業規模,以水定種植結構,以水定作物產量,控制水資源開發利用的不利環境影響,保障水資源可持續利用和農業可持續發展。發展適水農業是更高層面的農業節水戰略。隨著水資源進一步短缺及農業用水比例持續降低,只有發展適水農業,才能從根本上解決農業用水供需矛盾。必須根據不同區域水資源特點,通過系統設計、協同推進,以水定種,以水限產,提質增效。結合深化農業供給側結構性改革,適度壓縮高耗水作物種植面積,減小區域農業耗用水強度,建立適水農業種植結構。
一方面,基于GRACE衛星遙感數據以及陸地水儲量變化與生態演變的關系分析,為了維護區域生態健康和可持續發展,目前技術水平下西北內陸干旱區灌溉耕地面積閾值約為1.2億畝,其中新疆約為1.05億畝,河西走廊約為1500萬畝。從保持地下水適宜埋深和湖泊濕地的生態安全和穩定考慮,在不突破現有黃河分水指標下,寧蒙引黃灌區適度灌溉面積閾值為1700萬畝,其中內蒙古河套灌區為1100萬畝,寧夏引黃灌區為600萬畝,未來南水北調西線工程實施和黃河“八七分水方案”適度調整后再進行灌區規模調整,達到適水發展的科學合理狀態。
另一方面,為了給國家新一輪千億斤糧食產能提升行動、“力爭到2035年左右把15.46億畝永久基本農田全部建成高標準農田”提供水安全保障,應在大力發展農業節水的同時,通過跨區域調水和在水資源豐富地區適度增加灌溉面積,保障在2035年前后農業用水總量適度增加到3875億m3。
03、統一協調灌區續建配套節水改造、高標準農田建設、小型農田水利工程、高效節水灌溉工程等建設項目的規劃和實施,充分發揮不同投資的疊加效應
目前,灌區建設和骨干農田水利工程、農村供水由水利部門管理,高標準農田建設和高效節水灌溉由農業農村部門管理,不利于節水工程統一規劃、建設和運維。建議建立全國不同類型節水工程統一管理的行政管理體制,高度重視小型農田水利工程(小水窖、小水池、小泵站、小塘壩、小水渠)建設和維護的重要性,對全國小型農田水利工程的數量和使用狀況進行系統調查,逐步開展集中連片式整治修繕和節水改造,實現小型農田水利工程的維護管理和功能效益發揮。建議在灌區續建配套與現代化改造、高標準農田建設、小型農田水利工程統一規劃的基礎上,省、市、縣有關部門在工程具體實施中做好有效銜接,避免出現“田面高于田間渠道”的狀況,重視工程建設的質量控制和后評估,充分發揮節水工程效益。
從政策、改革等方面繼續推進灌區節水改造,尤其是中小型灌區,在完善灌區基本灌排設施建設,特別是解決好灌區“最后一公里”不暢的基礎上,積極推進灌區管理人員和管理模式的現代化,加快灌區水量監測、自動控制和信息化管理進程,為未來數字孿生灌區和智慧灌區建設打好堅實基礎。
04、積極推進采用分類分檔水價、精準補貼與節水獎勵的農業水價綜合改革,創新引入社會資本參與節水工程設施建設和管理的可持續機制,通過農戶節水增產增項、企業獲益以及利用水價杠桿,充分調動社會資本投資和農戶投入農業節水的積極性
需要進一步推進采用分類分檔水價、節水精準補貼與獎勵的農業水價綜合改革,鼓勵、吸引農民與企業參與到高效節水技術的應用與推廣之中,促進農業節水。同時,亟須推進灌區管理改革,大幅度提高管理效率,降低灌溉運行成本水價,降低農業水價改革的難度。
由于農村經濟水平相對低下,尤其是對于長期存在水資源短缺的華北、西北、東北西部地區,有城鎮生活和工業供水或高附加值作物占比大的灌區,可以通過農業節水向城鎮生活和工業轉移水權反哺節水設施建設,或者引入社會資本參與節水設施建設與管理;以作物灌溉,特別是以糧食作物灌溉為主的灌區,如果通過節水改造擴大灌溉面積,增加糧食產能,或者以保生態修復為目標,如通過農業節水回補地下水或滿足河流生態基流,則應該以政府投入和節水優惠補貼為主。
高效節水工程與設施建成后,要做到可持續運行和發揮作用,必須政、企、管、用多方共同努力,探索規模化經營,拓展盈利渠道反哺節水設施建管的模式,創新專業化社會力量參與節水工程建設和管護機制。根據近幾年多地的現場調研,除了河北桃城區提補式水價改革模式外,具有一定代表性的創新模式還有:
云南干熱河谷以特色經濟作物灌溉為主的“元謀模式”
該模式以農業水價綜合改革為牽引,強化政府引導作用,引入社會資本和投資主體參與節水工程建設、運營和管理。元謀大型灌區丙間片11.4萬畝高效節水灌溉工程,總投資3.07億元,其中政府投資1.2億元,大禹節水集團投資1.47億元,農戶自籌自建田間工程投資0.4億元,雖然水價由0.12元/m3提高到0.9元/m3,但由于種植作物具有高附加值,而且節肥、增產,凈收益增加17.4%,農戶具有積極性,改變了節水工程“政府建、無人管”的現狀,政府、企業、群眾三方共建共管共贏,實現了節水工程持續良性運行。
通過農業節水向城鎮生活和工業轉移水權的“河套灌區土地流轉集約經營節水工程設施建管模式”
內蒙古河套灌區水利發展中心發揮供水服務優勢,結合當地農業龍頭企業或種植大戶進行土地流轉,合作投資建設“引黃滴灌水肥一體化”節水設施,灌溉定額由450m3/畝減少到300m3/畝,灌溉水價由0.103元/m3提高到0.65元/m3,滴灌水肥一體化技術與玉米增密栽培配套,畝產提高350kg以上,每畝凈效益增加600元以上,水價提升反而使種植大戶的凈收益增加。對于節約的水量,灌區管理單位通過水權交易收入約300元/畝,反哺節水設施建設,同時調動了灌區水管單位和種植大戶的積極性。
江蘇華源公司的“彩虹農服模式”
江蘇華源節水股份有限公司提供大型卷盤式噴灌機和技術管理人員,當地有意愿有條件的勞動力參與入股,組建灌溉服務隊,為規模化種植戶提供專業化、全方位的灌溉解決方案。公司一臺中大型卷盤式噴灌機投入3萬元,每臺噴灌機控制200畝,一般全年灌水4次,每次灌水收灌溉服務費32元/畝,而傳統地面灌溉人工費50~70元/畝。1臺卷盤式噴灌機年凈收入約16000元,公司2年可收回噴灌機成本。這種“農服模式”盤活了節水灌溉設備資產,不僅減少了灌溉人工成本,還可節水80m3/畝,農戶參與的積極性較高。目前,該模式已在山東、河南、安徽等地推廣,投入卷盤式噴灌機設備350臺套,形成了30人左右穩定的灌溉合伙人,服務面積達7萬畝。
這些模式可能僅適合一些特定的條件,還需要在更大范圍內試驗和探索,不斷總結經驗和發展完善,創建出更多具有廣適性的節水灌溉工程設施建設和運行管理可持續的新模式,充分調動社會資本投資和農戶投入農業節水的積極性。
05、強化科技支撐,藏水于技,發展高水效農業,減少單位食物和農產品生產的凈耗水和灌溉用水,走技術進步替代灌溉用水大幅度增加之路,推動農業節水高質量發展
解決我國農業發展的水安全保障問題,根本出路在于藏水于技,發展高水效農業,通過科技創新減少單位食物和農產品生產的凈耗水和灌溉用水,走技術進步替代灌溉用水增加之路。藏水于技就是要通過農業高效用水關鍵核心技術與重大關鍵產品、區域綠色高效用水模式的突破,大幅度提高灌溉水利用系數和水的生產效率與效益,在盡量少增加農業用水總量的條件下,獲得糧食或其他農產品產量與質量的大幅度提升。同時,通過區域水土資源優化配置和作物種植結構、種植制度調整,合理布局農業生產,更好地挖潛水資源利用的效率和效益,緩解水資源緊缺對食物安全和農產品有效供給的威脅,全面提升我國農業水安全保障能力。
農業節水科技創新,應面向水資源緊缺條件下保障食物安全和農產品有效供給以及農業可持續發展的戰略需求,貫通供水、輸水、配水和用水全過程,加強與生物信息學、大數據、人工智能、云計算、機器人、傳感器、物聯網、多源遙感等技術的交叉融合和創新運用,促進農業節水向智慧化、精準化、無人化方向轉變,發展新質生產力,提升我國農業節水研究的理論水平和解決實際問題的能力,為新一輪千億斤糧食產能提升行動的實現和未來糧棉油的可持續生產提供科技支撐,為“力爭到2035年左右把15.46億畝永久基本農田全部建成高標準農田”提供可靠的水安全保障。
圍繞農業節水與水資源高效利用的國際前沿與保障食物安全和農產品有效供給以及農業可持續發展對農業節水的科技需求,按照核心理論突破-關鍵技術與產品研發-場景化綜合模式集成開展創新,形成“理論-技術-產品-模式”全鏈條的農業節水綜合技術體系。突破作物高水效表型診斷與靶向調控、區域水-土-氣-糧-生系統解析與適水農業發展路徑優化理論和方法;攻克農藝節水增效、作物多尺度需水智能預報與高效用水、高標準農田噴灌水肥精準管理、大規模滴灌系統關鍵設備與智能管控、高標準農田精細地面灌溉、丘陵山地綠色智慧集雨補灌、高標準旱作農田增蓄降耗、非常規水源高效開發與安全利用、農業供-輸-配-用水全過程智慧高效調控等9類關鍵技術與裝備,形成農業節水技術與系統的標準化;創建華北地下水超采區麥-玉輪作節水增糧、東北三江平原水稻節水提質增效、內蒙古東部春玉米節水壓采增糧、新疆綠洲棉花節水抑鹽提質增效、河西走廊制種玉米節水優質豐產、黃土高原旱地主糧作物輪作減耗提效增產、黃河中游小麥玉米節水增糧、西南季節性干旱區糧經作物節水增效、長江中下游水稻節水減排、現代農業種養結合水循環生態利用等10大應用場景驅動的區域高水效農業綜合模式。
堅持產業科技導向,遵循科技發展規律,強化場景驅動的協同創新和技術迭代升級,營造寬松創新生態,激發科研人員活力,提升整體創新效能。充分利用舉國體制優勢,發揮國家戰略科技力量的引領作用,建立平臺、人才、項目“三位一體”的資助模式,聯合行業骨干企業與地方科技力量,組建優勢互補的創新聯合體開展攻關。未來10年,力爭使我國的灌溉水利用系數與糧食作物灌溉水生產力提升10%以上,快速追趕國際先進水平;重大關鍵節水設備與核心產品全面實現國產化,國內企業產品的國際市場占有率提高10%;形成年潛在節水當量150億~200億m3,為國家食物安全與農產品有效供給提供更可靠的水安全保障。
本文來源:《中國水利》2024年第10期
更多干貨、市場分析、重磅案例、實戰課程歡迎訂閱 [農業行業觀察]公眾號:nyguancha

相關文章
文章:10891 篇
瀏覽:37208 次
【考證】第7期鄉村振興管理師招生火熱招生,線上..
鄉村振興新范式:整村運營,不只是網紅村的流量..
【智慧農業】趙春江院士:農業大模型與知識服務..
干貨梳理!不知道如何打造農業品牌?附6個切入點..
十五部門聯合發文:推進智慧農業管理成熟度認證..
鄉村振興農村一二三產業融合發展的內涵、做法及..
2025第四屆數字農業發展大會暨數字農業分會換屆..
【鄉村振興案例】牛欄江鎮水海村如何巧用“一二..
【縣域農業】湖南省:運用“四大法則” 加快湖南..
【農資賽道】農資行業未來發展的五大趨勢!..
重磅政策!“十五五” 時期我國農業與農村發展規..
聚焦農業科技!第四屆“金扁擔”農業現代化論壇..
【預制菜】預制菜公司如何招商?“5張招商圖譜”..
中化化肥品牌煥新發布:鑄就作物營養健康引領者..
松洋壓縮機閃耀2025冷暖峰會,展現產品創新硬實..
【預制菜】預包裝食品數字標簽來了!一目了然更..
【智慧農業】智能無人機將解決“三農”三大痛點..
種地也要高科技!土壤傳感器開啟農業精準種植新..
【鄉村產業】“土特產”如何做成大產業?8大方向..
天域航通:30倍增長書寫東北農業新篇 新疆基地鑄..
AI賦能農業發展向“新”提“質”,中國移動助推..
農資行業商業模式揭秘:不靠賣農資產品,靠會員..
【智慧農業】智慧農業創業:20+條創新商業模式推..
【農業案例】農業創業中的5個坑,農民看過后,選..
恭喜新疆缽施然智能農機股份有限公司榮獲2024年..
農村電商僅剩下農產品直播,未來還將如何發展..
新年特刊!100多個特色農場的經典案例,都非常有..
數字農業創新典型案例——淘菜菜、京東農場..
如何打造更賺錢的“無人農場”?
【預制菜】重磅分析!我國預制菜出海的趨勢與特..